物理光学

考核方式

课程内容

光在原子尺度上的表现

光学的内容

1、光的波动模型01
(本周包含三部分)
1.1、光波长的范围

1.2、光波的产生


1.3、光波的空间和时间周期性

1.4、光通量与光强

介质折射率


1.5、能流密度

1.6、光的传播

1.7、简谐(定态)光波及其描述


2、光的波动模型02
2.1、定态光波按波面分类


2.2、平面波的表达式


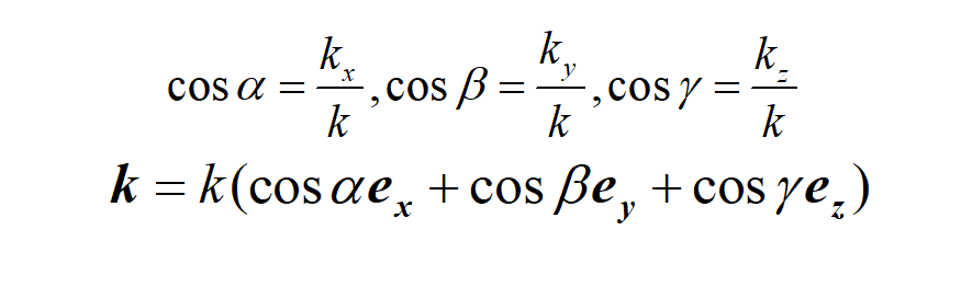
2.3、波矢的方向角表示

2.4、传播方向


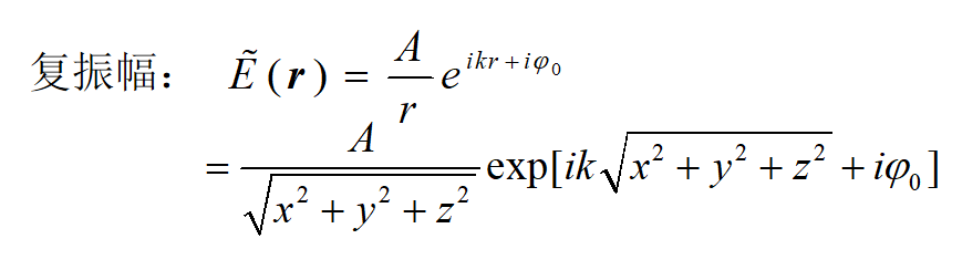
2.5、球面波的表达式


2.6、定态光波

2.7、有关光波的几个概念

近轴条件

远场条件


2.8、相位的超前与滞后


2.9、作业


3、光的相干叠加与非相干叠加
3.1、光波的叠加原理


3.2、相干条件

3.3、不同频率光的叠加

3.4、作业
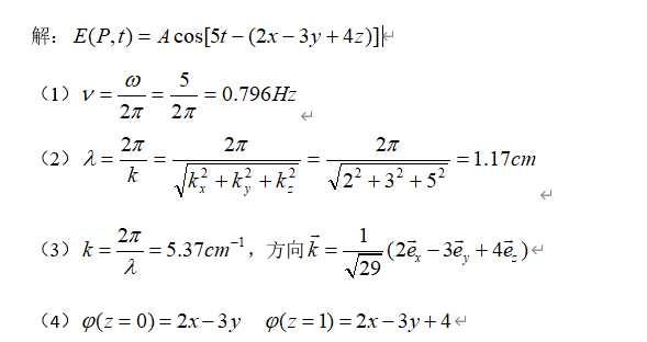
教材1.6题(Page366)如图所示,一平面简谐波沿r方向传播,波长为λ,设r=0的点的相位为
,(1)写出沿r方向波的相位分布
;(2)写出沿x轴波的相位分布
;(3)写出沿y轴波的相位分布
。


4、杨氏干涉和衬比度
4.1、相干光的获得

4.2、杨氏干涉


4.3、杨氏双孔干涉


4.4、当有介质时

4.5、干涉条纹的反衬度(可见度)


4.5、小结(重点)


4.6、最大级数

4.7、作业
光波振幅=A; 空间频率=1/lanmda
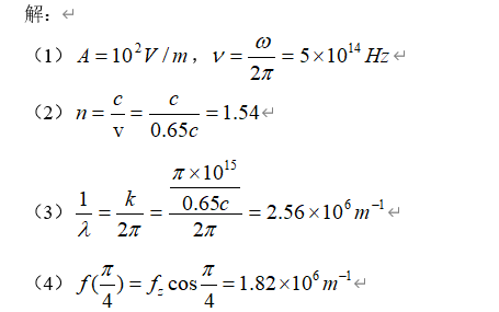
教材1.7题(Page366)在玻璃中z方向上传播的单色平面波的波函数为

式中c为真空中的光速,时间以s为单位,电场强度以V/m为单位,距离以m为单位,试求:
(1)光波的振幅和时间频率;
(2)玻璃的折射率;
(3)z方向的空间频率;
(4)在xz平面内与x轴成45角方向上的空间频率。

5、衍射和半波带法
5.1、引入

5.2、惠更斯—菲涅耳原理


5.3、衍射的分类

5.4、菲涅耳衍射(圆孔、圆屏)

半波带法分析菲涅耳圆孔衍射



5.5、波带片



5.6、波带片方程(n为半波带数)


5.7、作业
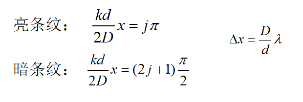
教材3.16题(Page378)在双缝干涉的情况下,如图所示,证明
(1)屏幕上的光强为
;(2)第一极小出现在
。

教材3.17题(Page378)如图所示的杨氏实验装置中,若单色光源的波长λ=500nm,d=S1, S2=0.33cm,r0=3m,试求:
(1)条纹间隔;
(2)若在S2后面置一厚度h=0.01mm的平行平面玻璃片,试确定条纹移动方向和计算位移的公式;假设一直条纹的位移为4.73mm,试计算玻璃的折射率。


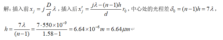
- 教材3.18题(Page379)用很薄的云母片(n=1.58)覆盖在双缝装置中的一条缝上,这时,光屏上的中心为原来的第七级亮纹所占据,若λ=550nm,则云母片有多厚?

教材3.20题(Page379)波长为λ的平行单色光以小倾角θ斜入射到间距为t的双缝上,设接收屏到双缝距离为D。(1)求零级主极大的位置;(2)假设在屏上到双缝距离都相等的地方恰好出现暗条纹,倾角θ必须满足什么条件?
解:


6、单缝衍射
6.1、夫琅禾费单缝衍射

6.2、衍射花样


6.3、单缝衍射的强度公式

光程差

振幅矢量求和

6.4、狭缝移动的影响

6.5、透镜移动的影响

6.6、衍射角

衍射角宽度

6.7、衍射花样特点

6.8、互补屏


6.9、夫琅禾费矩孔衍射



衍射图样

6.10、作业

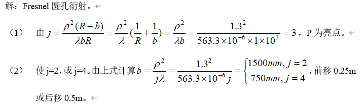
- 教材3.28题(Page381)波长为λ=563.3nm的单色光从远处的光源发出,经过一个直径D=2.6mm的圆孔,在距孔1m处放一屏幕,问:(1)幕上正对孔中心的点P是亮的还是暗的?(2)要使P点的明暗变成与(1)相反的情况,至少要将屏幕移动多少距离?

- 教材3.32题(Page381)波长为500.0nm的单色光垂直入射到直径为4mm的圆孔上,接收屏在圆孔后1.5m处,问孔的轴线与屏的焦点处是亮点还是暗点?如果要使该点的光强发生相反的变化,孔的直径要改变多少?

- 教材3.33题(Page381)波长为632.8nm的平行光垂直入射到圆孔衍射屏上,屏后轴上距离1m处出现一个亮点,设此时圆孔恰好仅露出第一个半波带,试求:(1)圆孔的半径;(2)由该点向衍射屏移动多远可以出现第一个暗点?

- 图示为两个特殊形状的菲涅耳衍射屏,阴影和浅蓝色部分不透光,其中标出了各个圆环到轴上场点的光程,b为中心到场点的光程,分别计算轴上场点处的衍射光强,设无衍射屏时,场点的光强为
。提示:用振幅矢量法求解,需画出相关的振幅矢量合成图,并假设每个半波带发出次波在场点的振幅相等,振幅矢量均为半圆弧。(没有画图扣一半分)


6.11、中央主极大的位置




6.12、衍射与孔径的空间尺度关系

6.13、干涉与衍射的区别和联系 (重点)


6.14、作业
- 教材3.41题(Page382)如图所示,用波长为632.8 nm的平行光垂直照射宽度为0.2mm的单狭缝,缝后有一焦距为60cm的透镜,光屏在此透镜的焦平面上,求衍射图样中心到第二条暗纹的距离。

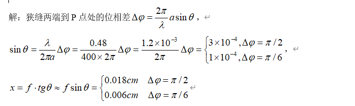
- 教材3.44题(Page383)波长480nm的平行单色光垂直入射到缝宽0.4mm的单缝衍射屏上,缝后透镜焦距为60cm,计算当屏上一点到缝两端的位相差分别为
和
时,该点到焦点的距离分别是多少?

- 教材3.49题(Page384)一反射式天文望远镜的通光孔径为2.5m,求可以分辨的双星的最小夹角。与人眼相比,分辨本领提高了多少倍?人眼瞳孔的直径约为2mm。

- 某种单色平行光垂直入射在单缝上,单缝宽a= 0.15 mm.缝后放一个焦距f = 400 mm的凸透镜,在透镜的焦平面上,测得中央明条纹两侧的两个第三级暗条纹之间的距离为8.0 mm,求入射光的波长。

7、折射反射
7.1、光矢量的正交分解

7.2、菲涅耳(Fresnel)公式 :电场强度

7.3、菲涅耳公式的物理意义

7.4、复振幅的反射率与透射率

垂直入射时

7.5、光强的反射率与透射率

7.6、能流的反射率与透射率


7.7、布儒斯特角和全反射角
布儒斯特角


全反射角

区别

7.8、薄膜的反射的半波损失

7.9、斯托克斯(Stocks)倒逆关系

7.10、作业




8、干涉仪与光的时空相干性
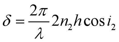
8.1、薄膜干涉
在薄膜干涉中,未存在半波损失时:
- 暗纹:2nh = (2j+1)lambda
- 亮纹:2nh = j lambda
但很多情况下会存在半波损失,所以条件相反。但第一条暗纹的j=0!
1、概念

2、两类典型的薄膜干涉


3、等倾干涉
3.1、概念



3.2、亮暗纹条件


3.3、薄膜厚度改变的影响

3.4、角距离

3.5、角宽度

3.6、半波损失

4、等厚干涉
4.1、概念

4.2、亮纹条件

4.3、垂直入射时亮纹条件

4.4、相邻条纹的厚度差

4.5、等厚干涉的弯曲

4.6、等厚干涉的应用

8.2、迈克耳孙(Michelson)干涉仪
使用空气薄膜时,没有半波损失
模型

干涉条纹的移动

8.3、马赫-曾德尔干涉仪

8.4、作业
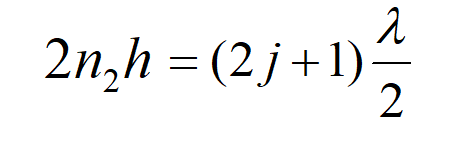
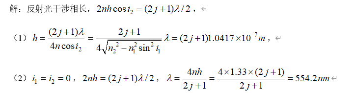
- 教材4.6题(Page385)沿着与肥皂膜的法线成35角的方向观察膜呈绿色(λ=5000Å),设肥皂水的折射率为1.33,求:(1)薄膜的厚度;(2)如果垂直注视时,膜呈何种颜色?

- 教材4.13题(Page386)一个Michelson干涉仪被调节,当用波长λ=5000Å扩展光源照明时会出现同心圆环形条纹,若要移动其中一臂而使圆环中心处相继出现1000条条纹,则该臂要移动多少?若中心是亮的,计算第一个暗环的角半径。(要求用两臂的路径距离差和波长表示)

- 教材4.16题(Page387)玻璃板上有一层油膜,波长可连续改变的单色光正入射,在λ=5000Å和λ=7000Å时,观察到反射光干涉相消,并且在这两波长之间再无其它波长的光相消。(1)证明油膜的折射率一定小于1.5(玻璃的折射率1.5)。(2)若油的折射率为1.3,求油膜的厚度。

波长为500nm的单色光垂直照射到由两块光学平玻璃构成的空气劈尖上,在观察反射光的干涉现象中,距劈尖棱边 l = 1.56cm的A处是从棱边算起的第四条暗条纹中心。
(1) 求此空气劈尖的劈尖角q 。
(2) 改用600 nm的单色光垂直照射到此劈尖上仍观察反射光的干涉条纹,A处是明条纹,还是暗条纹?

9、牛顿环干涉
原理为等厚干涉
9.1、牛顿环类型

9.2、光程差以及牛顿环半径

==反射光与透射光的半径不同==
==投射光无半波损失==

9.3、干涉滤波片
- 反射与透射干涉图样相反
- 增透
- 增反

增透(反射率公式)

9.4、反射率趋近于1

9.5、透射率趋近于1

9.6、Fabry-Perot干涉仪和标准具
1、概念

2、透射光光强

3、反射光光强

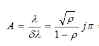
4、条纹的半值宽度

==5、半值宽度公式==

==6、半角宽度==

9.7、多光束干涉
==多光束干涉条纹要细锐的多==
公式

9.8、Fabry-Perot干涉仪的分辨本领
==分辨本领:==
==可分辨最小波长间隔:==

9.9、小结

9.10、作业
- 补充题:用单色光观察牛顿环,测得某一亮环的直径为3mm,在它外边第5个亮环的直径为4.6mm,所用平凸透镜的凸面曲率半径为1.03m,求此单色光的波长。
解:对于亮环,有
(
)
所以 

所以

- 教材4.11题(Page386)如图所示是Newton环的干涉装置,平凸透镜球面的曲率半径
,折射率
,平板玻璃由左右两部分组成,折射率分别是
和
,平凸透镜的顶点在这两部分玻璃的分界处,中间充以折射率
的二硫化碳液体,若用单色光垂直照射,在反射光中测得右边j级明条纹的半径
,j+5级明条纹的半径
,试求:(1)入射光的波长;(2)观察到的干涉图样。

解:左边有半波损失,右边没有。
(1)
,
,可得

(2)左边亮条纹
,暗条纹
,即同一高度处,两侧条纹正好明暗错开。
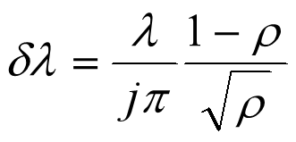
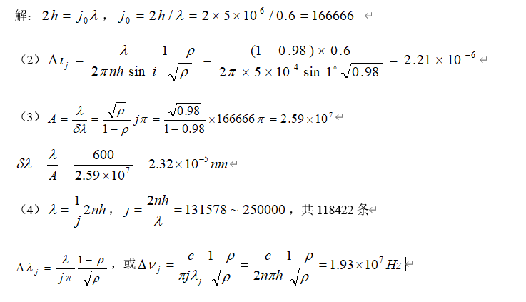
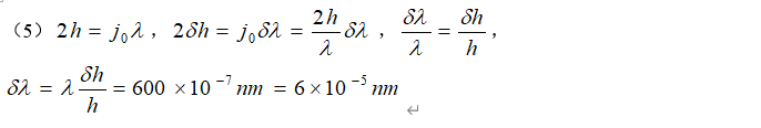
教材4.22题(Page388)设Fabry-Poret腔(F-P腔)长5cm,用扩展光源做实验,光波波长λ=6000Å,问:(1)中心干涉级数是多少?(2)在倾角为10附近,干涉环的半角宽度是多少?(设反射率R=0.98)。(3)如果用该F-P腔分辨谱线,其色分辨本领有多大?可分辨的最小波长间隔是多少?(4)如果用其对白光进行选频,透射最强的谱线有几条?每条的谱线宽度是多少?(5)由于热胀冷缩所引起的腔长的改变量为10-5(相对值),则谱线的漂移量是多少?


10、衍射光栅
10.1、干涉与衍射的区别

10.2、衍射光栅

10.3、干涉因子

10.4、衍射因子

10.5、复振幅和光强

10.6、光栅衍射的强度

10.7、极大值与极小值


10.8、缺级

10.9、小结

10.10、作业
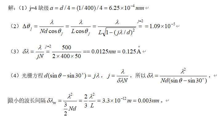
- 教材5.5题(Page389) 已知光栅缝宽为1.5×10-4cm,波长为600nm的单色光垂直入射,发现第4级缺级,透镜焦距为1m,试求:(1)屏幕上第2级亮条纹与第3级亮条纹的距离;(2)幕上所呈现的全部亮条纹数。

- 教材5.8题(Page390)为了能分辨第二级钠光谱的双线(波长分别为589.0nm和589.6nm),宽度为10cm的平面光栅的常数是多少?
解:
,
,
光栅宽度
- 教材5.12题(Page391)一光栅宽5cm,每毫米有400条刻线。波长为500nm的平行光正入射时,光栅的第4级衍射光谱在单缝衍射的第一极小值位置。试求:(1)每缝的宽度;(2)第二级衍射谱的半角宽度;(3)第二级可分辨的最小波长差;(4)如果入射光的入射方向与光栅平面的法线成30角,光栅能分辨的最小波长差又是多少?

补充题:
三条平行狭缝,宽为a,缝距分别为d和2d,利用振幅矢量法求解正入射时夫琅禾费衍射的光强分布,能用式子表示出来即可,不需要化简。(需画出振幅矢量图,图占5分)

答案参见课本Page226例题5.1
第十周 期中考
中央明纹的角宽度=2θ≈2λ/a

11、偏振光
11.1、偏振特性

11.2、起偏和检偏


11.3、平面偏振光(线偏振光)
- ==光矢量只在一个固定的平面内振动。==
- ==可分解为两列正交平面偏振光。==

- ==同相与反相==

1、滞后

11.4、部分偏振光
1、概念

11.5、圆偏振光
1、概念



2、左旋、右旋
- ==当w为负值时,相位差为正 –> 滞后 –> 左旋==
- ==当w为正值时,相位差为正 –> 超前 –> 右旋==

11.6、椭圆偏振光
1、概念

2、左右旋


3、长轴位置
==根据相位差==
- ==相位差位于左侧(二三象限)是长轴在二四象限==
- ==相位差位于右侧(一四象限)是长轴在一三象限==

11.7、相位差的影响


11.8、作业
- 教材7.4题(Page394)假定在两个固定的正交理想偏振片之间插入第三个理想偏振片,且使其透振方向以角速度
旋转,以自然光入射,并使t=0时刻新插入的偏振片的透振方向与第一个偏振片透振方向之间的夹角为0,试证明投射的光强满足如下关系式
。
解:

从P2透射的光强
- 教材7.7题(Page394)起偏器和检偏器透振方向间夹角是
,(1)如果没有吸收,透射光强变为原来的多少?(2)如果它们各吸收了10%的光强,透射光强又变为原来的多少?
解:(1)
(2)考虑吸收
从P2透射的光强
- **当一束自然光以布儒斯特角i0入射到两种介质的分界面(垂直于纸面)上时,画出图中反射光和折射光的光矢量振动方向。
**
答案:见图
- 试确定下面两列光波的偏振态。


答案:

y分量比x分量的相位滞后
,为左旋圆偏振光


y分量比x分量的相位滞后
,为左旋圆偏振光
12、双折射
12.1、双折射晶体的特征参量
晶体的光轴:光沿此方向入射时无双折射。
单轴晶体:光轴为对称轴,方解石晶体、石英、红宝石、冰,等等。
双轴晶体:云母、蓝宝石、橄榄石、硫黄,等等。

1、主截面

2、主平面

3、o光 与 e光的光强


12.2、单轴晶体中的波面
1、o光与e光波面的区别

==除了两个特殊的方向,e光的传播方向与其波面不垂直。这是因为其波面为椭球面。
o光的波面是球面,故其传播方向处处与其波面垂直。==
12.3、正晶体、负晶体

12.4 、惠更斯作图法


12.5、作业
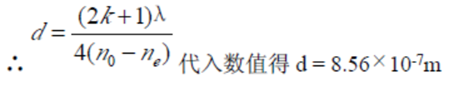
- 教材7.17题(Page396)图中棱镜ABCD是由45方解石棱镜组成,棱镜ABD的光轴平行于AB,棱镜BCD的光轴垂直于图面。当光垂直于AB入射时,说明为什么o光和e光在第二块棱镜中分开,并在图中画出它们的波面和振动方向。
解:


- 如图所示,一束光入射至正晶体,利用惠更斯作图法作图得到o光和e光的传播方向,并标出o光和e光的振动方向。


- 线偏振光垂直入射到一块光轴平行于表面的方解石波片上,光的振动面和波片的主截面
成30角。求:(1)透射出来的寻常光和非常光的相对强度为多少?(2)用钠光入射时如
要产生90 的相位差,波片的最小厚度应为多少?(λ=589nm)


13、1/2波片和1/4波片
13.1、光在波晶体中的改变

- ==光程差由两个折射光的折射率所决定==

13.2、平面偏振光(线偏振光)
1、1/4波片
- ==线偏振光变为左旋/右旋 椭圆偏振光==

==当电矢量与光轴夹角为45度时,产生圆偏振光==

2、1/2波片

3、小结

13.3、圆偏振光
1、1/4波片
==圆偏振光变为线偏振光==

2、1/2波片
==还是圆偏振光,但是旋转方向相反==

13.4、椭圆偏振光
1、1/4波片
==还是椭圆偏振光,正反向不定==

2、1/2波片
==反向,长轴改变==

13.5、正椭圆偏振光(椭圆长轴在轴上)
==1/4波片不定,1/2波片反向==

13.6、偏振态的鉴定

13.7、光的干涉(透射光强)


13.8、作业
【教材7.19题(Page396)】用什么方法区分1/4片和1/2片?
解:让圆偏光通过波片,再用偏振片检验。由于1/4波片使圆偏光变为线偏光,再通过偏振片时,会出现消光。而经过1/2波片的圆偏光还是圆偏光,用检偏器检验,不会消光。也可以用椭圆偏振光检验,但需要转动1/4波片,达到消光。
14、光的吸收、散射、色散(第9章)
14.1、光的吸收
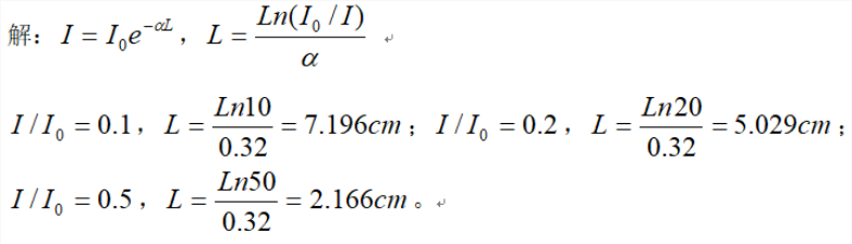
1、线性吸收规律


14.2、普遍吸收

14.3、选择吸收

14.4、红外窗口

14.5、光的色散


14.6、色散公式

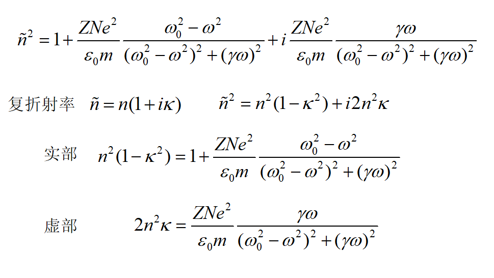
14.7、电偶极子


1、折射率


14.8、光的散射

1、散射的分类


14.9、天空的颜色


14.10、倍频晶体与二次谐波装置

15、相对论与辐射
15.1、相对论和量子力学的兴起


15.2、黑体辐射
1、热辐射(温度)


2、黑体

15.3、基尔霍夫定律

15.4、普朗克常数

15.5、光电效应
1、产生条件

2、饱和电流与遏止电压

3、光电效应特点


4、光电效应方程
爱因斯坦靠“光电效应方程”获得诺贝尔奖,而不是相对论。

15.6、光子
1、公式

2、单位转换关系
焦耳与电子伏特
电子伏特与SI制的能量单位焦耳(J)的换算关系是1 eV = 1.6021766208(98)×10^-19 J
3、光子到底是波还是粒子?

4、说明光具有量子性的实验(三个)

15.7、作业
- 本文链接:https://lxjblog.gitee.io/2020/08/02/%E7%89%A9%E7%90%86%E5%85%89%E5%AD%A6/
- 版权声明:本博客所有文章除特别声明外,均默认采用 许可协议。











